
¿Alguna vez has querido conocer el secreto detrás del famoso triángulo de la antigua Grecia? ¡Prepárate para un emocionante viaje en el tiempo con el asombroso Teorema de Pitágoras! Este teorema es como una llave mágica que abre un mundo de posibilidades en geometría y más allá. Imagínate medir la hipotenusa de un triángulo sin tener que usar una regla o desvelar la longitud de los catetos con un simple cálculo. Con el Teorema de Pitágoras, no solo descubrirás estas habilidades, sino que también entenderás cómo los matemáticos antiguos cambiaron nuestra forma de ver el mundo. ¡Vamos a explorar juntos este poderoso teorema y ver cómo puede hacer que los problemas geométricos se resuelvan como por arte de magia!
Learning Goals
- Comprender el Teorema de Pitágoras: Aprenderás a enunciar y explicar el Teorema de Pitágoras y entenderás su importancia en la resolución de problemas geométricos.
- Calcular la hipotenusa: Serás capaz de utilizar el Teorema de Pitágoras para calcular la longitud de la hipotenusa en triángulos rectángulos, dados los catetos.
- Determinar las longitudes de los catetos: Aprenderás a usar el Teorema de Pitágoras para encontrar la longitud de uno de los catetos cuando se conoce la hipotenusa y el otro cateto.
- Aplicar el Teorema de Pitágoras en problemas prácticos: Utilizarás el Teorema de Pitágoras para resolver problemas del mundo real, como determinar distancias y alturas en situaciones diversas.
- Reconocer la relación entre los lados de un triángulo rectángulo: Entenderás cómo los lados de un triángulo rectángulo están relacionados y cómo aplicar esta relación para resolver problemas geométricos.
CONTENIDO
Importancia
El Teorema de Pitágoras es una herramienta fundamental en matemáticas y geometría. Nos permite resolver problemas con precisión y eficacia, y su aplicación se extiende a diversas áreas, desde la arquitectura y la ingeniería hasta la navegación y la física. Además, el estudio del Teorema de Pitágoras desarrolla tus habilidades de razonamiento lógico y analítico, esenciales en cualquier disciplina académica y profesional. Conocer y dominar este teorema no solo te hará mejor en matemáticas, sino que también te proporcionará una base sólida para entender conceptos más avanzados en ciencias y tecnología.
Teorema de Pitágoras:
Recordemos primero:
1. Un triángulo rectángulo tiene un ángulo recto.
2. La hipotenusa es la más grande de los tres lados. En un triángulo rectángulo, la relación de sus tres lados (dos catetos y la hipotenusa) es así: el cuadrado de la hipotenusa equivale a la suma de los cuadrados de los dos catetos.

Gráficamente, si a la hipotenusa llamamos c, y a los catetos a y b, podemos comprobar que, si literalmente ponemos en cada lado del triángulo sus respectivos cuadrados y llenamos de contenido los cuadrados de los catetos, el contenido de ambos calza exactamente en el cuadrado de la hipotenusa. De esta manera se demuestra que la suma de los cuadrados de los catetos equivale al cuadrado de la hipotenusa.
Sin embargo, por facilidad, para hallar la hipotenusa o los catetos, usamos el Teorema de Pitágoras de la siguiente manera:
- Para hallar la hipotenusa: La hipotenusa equivale a la raíz cuadrada de la suma de los cuadrados de los catetos.

- Para hallar cualquiera de los catetos: Cualquier cateto equivale a la raíz cuadrado de la resta entre los cuadrados de la hipotenusa y del otro cateto.

Ejercicios resueltos:
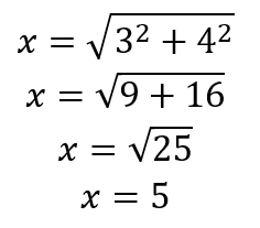
Ejercicio 1:
Halla el lado faltante dados los otros dos lados del siguiente triángulo rectángulo:

Resolución: Como podemos ver, en el triángulo falta el valor de la hipotenusa (x), pero se dan los valores de los catetos. El valor de los ángulos no se da, y no importa, puesto que en el Teorema de Pitágoras solo relacionan la hipotenusa y los catetos, mas no los ángulos. Para hallar la hipotenusa, usamos:

Reemplazando los valores, tenemos:

Por tanto, la hipotenusa vale 5.
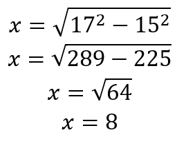
Ejercicio 2:
Halla el lado faltante dados los otros dos lados del siguiente triángulo rectángulo:

Resolución: Como podemos ver, en el triángulo falta el valor de uno de los catetos ( ), pero se dan los valores de la hipotenusa y del otro cateto. Recuerda que la hipotenusa es el lado más grande, y se encuentra siempre frente al ángulo de 90° (aquel que tiene un cuadrado).
Para hallar la hipotenusa, usamos:

Reemplazando los valores, tenemos:

Ejercicios propuestos
Halla el lado faltante dados los otros dos lados del siguiente triángulo rectángulo:










Aplicaciones

Medición de Rutas 🛤️
- Descripción: Cuando necesitas medir la distancia más corta entre dos puntos no accesibles directamente, como entre dos esquinas de un parque. Utilizando las longitudes de dos lados perpendiculares, puedes calcular la distancia diagonal.
- Ejemplo: Determinar la distancia recta entre dos esquinas opuestas de un jardín cuadrado.
Televisión y Pantallas 📺
- Descripción: El tamaño de las pantallas de televisores y monitores se mide en diagonal. Usando las dimensiones horizontales y verticales, puedes emplear el Teorema de Pitágoras para calcular la diagonal de la pantalla.
- Ejemplo: Encontrar la medida diagonal de un televisor de 32 pulgadas conocido solo el ancho y alto.
Construcción de Escaleras
- Descripción: Para construir escaleras seguras, los carpinteros utilizan el Teorema de Pitágoras para calcular la longitud de los escalones en función de la altura y el espacio horizontal que deben cubrir.
- Ejemplo