Back to Course

10Mo – MatemĆ”tica

0% Complete
0/0 Steps
Unit Progress
0% Complete

Learning Goals
  1. Comprender el concepto de dispersión: SerÔs capaz de explicar qué significa la dispersión en un conjunto de datos y por qué es importante para entender la variabilidad de los datos.
  2. Calcular el rango: AprenderÔs a calcular el rango de un conjunto de datos no agrupados y entenderÔs cómo esta medida muestra la diferencia entre el valor mÔximo y el valor mínimo.
  3. Determinar la varianza: SerÔs capaz de calcular la varianza de un conjunto de datos no agrupados y comprenderÔs cómo esta medida refleja la dispersión de los datos respecto a la media.
  4. Calcular la desviación estÔndar: AprenderÔs a calcular la desviación estÔndar de un conjunto de datos no agrupados y entenderÔs cómo esta medida proporciona una visión de la dispersión en las mismas unidades que los datos originales.
  5. Aplicar medidas de dispersión: PodrÔs utilizar las medidas de rango, varianza y desviación estÔndar para analizar y comparar la variabilidad de diferentes conjuntos de datos en diversas situaciones prÔcticas.

Rango

El rango es la diferencia entre el valor mÔximo y el valor mínimo en un conjunto de datos. Es la medida mÔs simple de dispersión.

Ejemplo:

Supongamos que tenemos las siguientes edades de un grupo de estudiantes: 12, 14, 15, 13, 12.

  • Valor mĆ”ximo: 15
  • Valor mĆ­nimo: 12

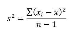
Varianza s2

La varianza mide la dispersión de los datos respecto a la media. Es el promedio de las diferencias al cuadrado entre cada valor y la media.

Donde xi es cada valor, es x con a ceja encima es la media, y n es el nĆŗmero de datos.

Ejemplo:

Para las edades 12, 14, 15, 13, 12, calculamos primero la media:

Luego, calculamos la varianza:

Desviación estÔndar o típica s

La desviación estÔndar es la raíz cuadrada de la varianza. Nos indica qué tan dispersos estÔn los datos respecto a la media en las mismas unidades que los datos originales.

Ejemplo:

Utilizando la varianza calculada anteriormente:

Ejemplo completo:

Consideremos el siguiente conjunto de datos de las notas de un examen de matemƔticas: 7, 8, 7, 6, 9, 10, 6, 8, 7.

Rango:

  • Valor mĆ”ximo: 10
  • Valor mĆ­nimo: 6

Varianza:

Calculamos primero la media:

Luego, calculamos la varianza:

  1. Desviación EstÔndar:

Aplicaciones

  1. Control de Calidad en la Industria:
    • La desviación estĆ”ndar se utiliza para medir la variabilidad en la producción de bienes. Por ejemplo, en una fĆ”brica de botellas, una baja desviación estĆ”ndar en el tamaƱo o peso asegura que los productos cumplen con los estĆ”ndares y reduce los desperdicios.
  2. AnƔlisis de Riesgo en Finanzas:
    • Las medidas de dispersión como la varianza y la desviación estĆ”ndar ayudan a evaluar el riesgo de inversiones. Una alta desviación estĆ”ndar en los retornos de una acción indica mayor volatilidad, lo que puede implicar un mayor riesgo para los inversores.
  3. Evaluación del Rendimiento Académico:
    • En el Ć”mbito educativo, las medidas de dispersión ayudan a entender la uniformidad del desempeƱo de los estudiantes en una prueba. Una baja desviación estĆ”ndar sugiere que los puntajes estĆ”n cerca de la media, mientras que una alta indica una amplia variedad en el rendimiento.

Estas medidas son esenciales para comprender la variabilidad en datos y tomar decisiones fundamentadas.