
¿Alguna vez has necesitado convertir logaritmos de una base a otra para simplificar cálculos o resolver problemas específicos? El cambio de base de logaritmos es una habilidad esencial en matemáticas que nos permite manejar logaritmos de cualquier base con facilidad. En esta lección, aprenderás a transformar logaritmos de una base a otra, lo que te dará mayor flexibilidad y comprensión en tus cálculos.
Learning goals:
Al final de esta lección, tú serás capaz de:
- Comprender el concepto de cambio de base en logaritmos.
- Aplicar la fórmula de cambio de base para convertir logaritmos entre diferentes bases.
- Simplificar expresiones logarítmicas utilizando el cambio de base.
- Resolver problemas prácticos que requieren el cambio de base de logaritmos.
- Reconocer la importancia del cambio de base en contextos científicos y financieros.
Pasos para el Cambio de Base
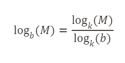
La fórmula para cambiar la base de un logaritmo es:

donde:
- logb(M) es el logaritmo de M en base b.
- k es la nueva base a la que deseas cambiar.
- Puedes elegir cualquier base k, pero comúnmente se usan bases 10 y e (logaritmo natural).
Ejemplos:



Resources:
Learning activities:
Ejercicios propuestos
Grupo 1:

Grupo 2:

Grupo 3:

Actividades Lúdicas para el Aula
- Rompecabezas de Cambio de Base:
- Divide a la clase en grupos y proporciona piezas de rompecabezas con expresiones de logaritmos y sus equivalentes en diferentes bases. Los estudiantes deben unir correctamente las piezas para formar el rompecabezas completo.
- Bingo de Cambio de Base:
- Crea tarjetas de bingo con diferentes logaritmos en diversas bases y sus simplificaciones en bases comunes como 10 y ee. Los estudiantes deben resolverlos y marcar las respuestas correctas en sus tarjetas de bingo.
- Competencia de Cambio de Base Rápido:
- Organiza una competencia donde los estudiantes, en equipos, deben cambiar de base logaritmos lo más rápido posible. Proporciona puntos por cada respuesta correcta y premia al equipo con más puntos.
- Jenga Matemático con Cambio de Base:
- Usa un juego de Jenga donde cada bloque tiene un problema de cambio de base logarítmico. Los estudiantes deben resolver el problema antes de apilar el bloque en la torre.
- Escape Room de Cambio de Base:
- Crea una serie de pistas y problemas de cambio de base logarítmico que los estudiantes deben resolver para avanzar a la siguiente pista y finalmente “escapar” del aula. Divide a los estudiantes en equipos y dales un tiempo límite para completar todas las pistas.
Adaptaciones curriculares:
Realizar la mitad o cuarta parte de los ejercicios propuestos.