Back to Course

1Ro Matemática

0% Complete
0/0 Steps
  1. Syllabus

    Unidad 1: Notación Científica (4 semanas)
    4 Lessons
  2. Unidad 2: Vectores (9 semanas)
    7 Lessons
  3. Unidad 3: Polinomios, ecuaciones e inecuaciones (8 semanas)
    7 Lessons
  4. Unidad 4: Estadística (5 semanas)
    6 Lessons
  5. Unidad 5: Funciones (8 Semanas)
    4 Lessons
  6. Unidad 6: Logaritmos (5 semanas)
    10 Lessons
Unit 6, Lesson 3
In Progress

Operaciones con logaritmos

Unit Progress
0% Complete

¿Te gustaría dominar el arte de simplificar y resolver expresiones matemáticas que combinan varias operaciones logarítmicas? ¡Estás en el lugar correcto! En esta lección, aprenderás cómo las propiedades de los logaritmos se pueden combinar para simplificar y resolver expresiones complejas de manera eficiente. Estas habilidades no solo te ayudarán en tus estudios, sino que también son increíblemente útiles en campos como la ciencia, la ingeniería y las finanzas.


Learning goals:

Al final de esta lección, tú serás capaz de:

  1. Comprender y aplicar las propiedades de los logaritmos en combinaciones complejas.
  2. Simplificar expresiones logarítmicas que involucren múltiples operaciones.
  3. Resolver ecuaciones logarítmicas combinadas utilizando propiedades logarítmicas.
  4. Identificar errores comunes y corregirlos en operaciones logarítmicas combinadas.
  5. Utilizar combinaciones de logaritmos en contextos aplicados en la vida diaria.

Repaso de las Propiedades de los Logaritmos

  1. Propiedad del Producto:
  1. Propiedad del Cociente:
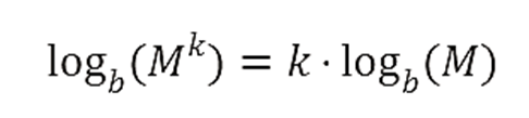
  1. Propiedad de la Potencia:
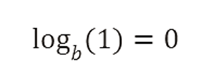
  1. Propiedad del Logaritmo de 1:
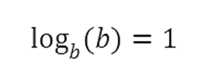
  1. Propiedad del Logaritmo de la Base:

Ejemplos de Operaciones Combinadas

Resources:


Learning activities:

Ejercicios Propuestos

Grupo 1:

Grupo 2:

Grupo 3:

Actividades Lúdicas para el Aula

  1. Rompecabezas de Logaritmos Combinados:
    • Divide la clase en grupos y proporciona piezas de rompecabezas con expresiones logarítmicas combinadas y sus soluciones. Los estudiantes deben unir correctamente las piezas para formar el rompecabezas completo.
  2. Bingo de Operaciones Combinadas:
    • Crea tarjetas de bingo con diferentes expresiones logarítmicas combinadas y sus simplificaciones. A medida que lees problemas, los estudiantes deben resolverlos y marcar las respuestas correctas en sus tarjetas de bingo.
  3. Competencia de Simplificación Rápida:
    • Organiza una competencia donde los estudiantes, en equipos, deben simplificar expresiones logarítmicas combinadas lo más rápido posible. Proporciona puntos por cada respuesta correcta y premia al equipo con más puntos.
  4. Jenga Matemático con Operaciones Combinadas:
    • Usa un juego de Jenga donde cada bloque tiene un problema de logaritmo combinado. Los estudiantes deben resolver el problema antes de apilar el bloque en la torre.
  5. Escape Room de Logaritmos Combinados:
    • Crea una serie de pistas y problemas de logaritmos combinados que los estudiantes deben resolver para avanzar a la siguiente pista y finalmente “escapar” del aula. Divide a los estudiantes en equipos y dales un tiempo límite para completar todas las pistas.

Adaptaciones curriculares:

Resolver la mitad o la cuarta parte de los ejercicios propuestos en esta actividad.