
¿Te has preguntado alguna vez cómo los matemáticos simplifican cálculos complejos que involucran números muy grandes o muy pequeños? ¡Los logaritmos son la clave! Son una herramienta esencial que no solo facilita estos cálculos, sino que también revela propiedades fascinantes de los números. En esta lección, nos sumergiremos en las propiedades de los logaritmos y veremos cómo estas pueden simplificar y transformar nuestras ecuaciones de maneras sorprendentes y útiles.
Learning goals:
Al final de esta lección, tú serás capaz de:
- Entender y explicar las propiedades fundamentales de los logaritmos.
- Aplicar estas propiedades para simplificar expresiones logarítmicas.
- Resolver ecuaciones logarítmicas utilizando las propiedades de los logaritmos.
- Identificar y corregir errores comunes al trabajar con logaritmos.
- Utilizar logaritmos en problemas aplicados en contextos científicos y financieros.
Propiedades de los Logaritmos
Propiedad del Producto:


Propiedad del Cociente:


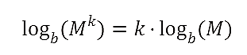
Propiedad de la Potencia:


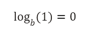
Propiedad del Logaritmo de 1:


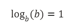
Propiedad del Logaritmo de Base y Argumento Iguales:


Logaritmo de cero o menos
Logaritmo de Cero: No está definido porque no existe un número real que eleve una base positiva para obtener cero.
Logaritmo de Números Negativos: No está definido en el conjunto de números reales por la misma razón; no hay potencias de una base positiva que resulten en un número negativo.
Ejercicios de Ejemplo

Resources:
Learning activities:
Ejercicios Propuestos
Grupo 1:

Grupo 2:

Grupo 3:

Actividades Lúdicas para el Aula
- Rompecabezas de Logaritmos:
- Divide la clase en grupos y proporciona a cada grupo piezas de rompecabezas con expresiones logarítmicas y sus soluciones. Los estudiantes deben unir las piezas correctamente para formar un rompecabezas completo.
- Bingo de Propiedades de Logaritmos:
- Crea tarjetas de bingo con diferentes expresiones y simplificaciones logarítmicas. A medida que lees problemas, los estudiantes marcan las respuestas correctas en sus tarjetas de bingo.
- Competencia de Respuesta Rápida:
- Organiza una competencia donde los estudiantes, en equipos, deben resolver problemas de logaritmos lo más rápido posible. Proporciona puntos por cada respuesta correcta y premia al equipo con más puntos.
- Jenga Matemático:
- Usa un juego de Jenga donde cada bloque tiene un problema de logaritmo escrito. Los estudiantes deben resolver el problema antes de apilar el bloque en la torre.
- Escape Room de Logaritmos:
- Crea una serie de pistas y problemas de logaritmos que los estudiantes deben resolver para avanzar a la siguiente pista y finalmente “escapar” del aula. Divide a los estudiantes en equipos y dales un tiempo límite para completar todas las pistas.
Adaptaciones curriculares:
Realizar solo el Grupo 1 de los ejercicios propuestos en el apartado anterior.